ページの先頭です
本文の先頭です

印刷用PDFファイル(PDF/128KB)

平成26年11月14日

各位

会社名 株式会社みずほフィナンシャルグループ
代表者 執行役社長 佐藤 康博
本店所在地 東京都千代田区大手町一丁目5番5号
コード番号 8411(東証第一部)

株式報酬型ストックオプション(新株予約権)の発行に関するお知らせ

当社は、平成26年5月14日開催の当社取締役会決議及びかかる取締役会決議による委任に基づく平成26年11月14日付の執行役社長による決定に基づき、当社の取締役(除く社外取締役)、執行役及び執行役員、並びに当社の子会社である株式会社みずほ銀行、みずほ信託銀行株式会社及びみずほ証券株式会社の取締役(除く社外取締役)及び執行役員に対し、以下のとおり、株式報酬型ストックオプション(新株予約権)を発行することとしましたので、お知らせいたします。

  1. 1. ストックオプションとしての新株予約権を発行する理由

    当社、株式会社みずほ銀行、みずほ信託銀行株式会社及びみずほ証券株式会社の取締役(除く社外取締役)、執行役及び執行役員の当社の株価上昇及び業績向上への貢献意欲を従来以上に高めること等を目的としております。

  2. 2.新株予約権の募集事項
    1. (1)新株予約権の名称
      株式会社みずほフィナンシャルグループ第7回新株予約権(以下「本新株予約権」という。)
    2. (2)新株予約権の総数
      12,077個とする。
      上記総数は、割当予定個数であり、引受けの申し込みがなされなかった場合等、割り当てる本新株予約権の総数が減少したときは、割り当てる本新株予約権の総数をもって発行する新株予約権の総数とする。
    3. (3)新株予約権の目的である株式の種類及び数
      本新株予約権の目的である株式の種類は、当社普通株式とし、各本新株予約権の目的である株式の数(以下「付与株式数」という。)は、1,000株とする。(単元株式数は、100株)
      なお、本新株予約権割当後、当社が当社普通株式の株式分割又は株式無償割当て、株式併合を行う場合には、次の算式により付与株式数の調整を行い、調整の結果生じる1株未満の端数は、これを切り捨てる。
      調整後付与株式数=調整前付与株式数×株式分割又は株式無償割当て、株式併合の比率
      調整後付与株式数は、株式分割又は株式無償割当ての場合は、当該株式分割又は株式無償割当ての基準日の翌日以降、株式併合の場合は、その効力発生日以降、これを適用する。ただし、剰余金の額を減少して資本金又は準備金を増加する議案が当社株主総会において承認されることを条件として株式分割又は株式無償割当てが行われる場合で、当該株主総会の終結の日以前の日を株式分割又は株式無償割当てのための基準日とする場合は、調整後付与株式数は、当該株主総会の終結の日の翌日以降これを適用する。
      また、当社が合併又は会社分割を行う場合その他これらの場合に準じて付与株式数の調整を必要とする場合には、当社は、合理的な範囲で付与株式数を適切に調整することができる。
      付与株式数の調整を行うときは、当社は調整後付与株式数を適用する日の前日までに、必要な事項を新株予約権原簿に記載された各本新株予約権を保有する者(以下「本新株予約権者」という。)に通知又は公告する。ただし、当該適用の日の前日までに通知又は公告を行うことができない場合には、以後速やかに通知又は公告する。
    4. (4)新株予約権の行使に際して出資される財産の価額
      各本新株予約権の行使に際して出資される財産の価額は、当該各本新株予約権を行使することにより交付を受けることができる株式1株当たりの行使価額を1円とし、これに付与株式数を乗じた金額とする。
    5. (5)新株予約権を行使することができる期間
      平成26年12月2日から平成46年12月1日までとする。
    6. (6)新株予約権の行使の条件
      本新株予約権者は、当社、株式会社みずほ銀行、みずほ信託銀行株式会社又はみずほ証券株式会社の取締役、執行役又は執行役員の地位に基づき割当てを受けた本新株予約権については、当該各会社の取締役、執行役又は執行役員の地位を喪失した日の翌日以降、本新株予約権を行使できるものとする。
    7. (7)新株予約権の取得条項
      以下の(i)、(ii)、(iii)、(iv)又は(v)の議案につき当社株主総会で承認された場合(株主総会決議が不要の場合は、当社の取締役会決議又は会社法第416条第4項の規定に従い委任された執行役の決定がなされた場合)、当社取締役会又は当社取締役会の委任を受けた当社の執行役が別途定める日に、当社は無償で本新株予約権を取得することができる。
      1. (i)当社が消滅会社となる合併契約承認の議案
      2. (ii)当社が分割会社となる分割契約若しくは分割計画承認の議案
      3. (iii)当社が完全子会社となる株式交換契約若しくは株式移転計画承認の議案
      4. (iv) 当社の発行する全部の株式の内容として譲渡による当該株式の取得について当社の承認を要することについての定めを設ける定款の変更承認の議案
      5. (v) 本新株予約権の目的である株式の内容として譲渡による当該株式の取得について当社の承認を要すること又は当該種類の株式について当社が株主総会の決議によってその全部を取得することについての定めを設ける定款の変更承認の議案
    8. (8)新株予約権の取得承認
      本新株予約権を譲渡により取得する場合は、当社取締役会の承認を要する。
    9. (9)新株予約権の行使により株式を発行する場合における増加する資本金及び資本準備金に関する事項
      本新株予約権の行使により新株を発行する場合における増加する資本金の額は、会社計算規則第17条第1項に従い算出される資本金等増加限度額に0.5を乗じた額(ただし、1円未満の端数は切り上げる。)とする。資本金として計上しないこととした額は資本準備金とする。
    10. (10)合併、吸収分割、新設分割、株式交換及び株式移転をする場合の新株予約権の取扱いに関する事項
      当社が合併(合併により当社が消滅する場合に限る。)、吸収分割若しくは新設分割(それぞれ当社が分割会社となる場合に限る。)、又は株式交換若しくは株式移転(それぞれ当社が完全子会社となる場合に限る。)(以上を総称して以下「組織再編行為」という。)をする場合においては、組織再編行為の効力発生時点において残存する本新株予約権(以下「残存新株予約権」という。)の新株予約権者に対し、合併後存続する株式会社又は合併により設立する株式会社、分割する事業に関して有する権利義務の全部又は一部を承継する株式会社、新設分割により設立する株式会社、当社の発行済株式の全部を取得する株式会社及び株式移転により設立する株式会社(以下「再編対象会社」という。)の新株予約権を下記の条件で交付することとする。この場合においては、残存新株予約権は消滅し、再編対象会社は新株予約権を新たに発行するものとする。ただし、以下の条件に沿って再編対象会社の新株予約権を交付する旨を、吸収合併契約、新設合併契約、吸収分割契約、新設分割計画、株式交換契約又は株式移転計画において定め、これが当社株主総会で承認された場合(株主総会決議が不要の場合は、当社の取締役会決議又は会社法第416条第4項の規定に従い委任された執行役の決定がなされた場合)に限るものとする。
      1. (i)交付する再編対象会社の新株予約権の数
        本新株予約権者が保有する残存新株予約権の数と同一の数とする。
      2. (ii)新株予約権の目的となる株式の種類
        再編対象会社の普通株式とする。
      3. (iii)新株予約権の目的となる株式の数
        組織再編行為の条件に応じて合理的に調整された数とし、調整により生ずる1株未満の端数は切り捨てる。
      4. (iv)新株予約権の行使に際して出資される財産の価額
        再編後行使価額に上記(iii)に従って決定される各新株予約権の目的である再編対象会社の株式の数を乗じて得られる金額とする。再編後行使価額は、交付される各新株予約権を行使することにより交付を受ける再編対象会社の株式1株当たり1円とする。
      5. (v)新株予約権の行使期間
        上記(5)に定める本新株予約権を行使することができる期間の開始日と組織再編行為の効力発生日のいずれか遅い日から、上記(5)に定める本新株予約権を行使することができる期間の満了日までとする。
      6. (vi)その他行使条件及び取得条項
        上記(6)及び(7)に準じて定めるものとする。
      7. (vii)新株予約権の行使により株式を発行する場合における増加する資本金及び資本準備金に関する事項
        上記(9)に準じて定めるものとする。
      8. (viii)新株予約権の取得承認
        譲渡による新株予約権の取得については、再編対象会社の承認を要する。
    11. (11)新株予約権を行使した際に生ずる1株に満たない端数の取決め
      本新株予約権を行使した本新株予約権者に交付する株式の数に1株に満たない端数がある場合には、これを切り捨てる。
    12. (12)新株予約権の払込金額(発行価額)の算定方法
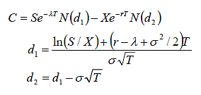
      各本新株予約権の払込金額は、(ii)から(vii)の基礎数値に基づき、ブラック・ショールズ・モデルにより算出した当社普通株式1株当たりのオプション価格に付与株式数を乗じた金額とする。
      画像
      1. (i)1株当たりのオプション価格(C)
      2. (ii) 株価(S):平成26年11月28日の東京証券取引所における当社普通株式の普通取引の終値(当日に終値がない場合は、翌取引日の基準値段)
      3. (iii)行使価額(X):1円
      4. (iv)予想残存期間(T):2.46年
      5. (v) ボラティリティ(σ):2.46年(平成26年11月28日から過去128週)の各取引日における当社普通株式の普通取引の終値に基づき算出した株価変動率
      6. (vi)無リスクの利子率(r):残存年数が予想残存期間に対応する国債の利子率
      7. (vii)配当利回り(λ):1株当たりの配当金÷上記(ii)に定める株価
      8. (viii)標準正規分布の累積分布関数(N(·))
      • * 上記により算出される金額は本新株予約権の公正価格であり、有利発行には該当しない。
      • *割当てを受ける者が当社に対して有する報酬請求権と、本新株予約権の払込金額の払込債務とが相殺される。
    13. (13)新株予約権の割当日
      平成26年12月1日
    14. (14)新株予約権と引換えにする金銭の払込みの期日
      払込期日は平成26年12月1日とする。
    15. (15)新株予約権の行使請求場所
      当社取締役会室(又はその時々における当該業務担当部署)
    16. (16)新株予約権の行使に際しての払込取扱場所
      株式会社みずほ銀行 丸之内支店(又はその業務を承継する銀行若しくはその部署とする。)
  3. 3.新株予約権の割当ての対象者及びその人数並びに割当てる新株予約権の数
    当社の取締役

    2名

    159個

    当社の執行役

    12名

    971個

    当社の執行役員

    37名

    354個

    当社子会社の取締役

    32名

    2,750個

    当社子会社の執行役員

    113名

    7,843個


    上記個数は、割当予定個数であり、引受けの申し込みがなされなかった場合等、割り当てる本新株予約権の個数が減少することがあります。

以上

ページの先頭へ